아스코르브산을 파괴하는 아스코르비나아제가 많은 음식들
아스코르브산을 파괴하는 아스코르비나아제가 많은 음식들이 존재한다. 음식에도 궁합이 있듯이, 함께 섭취하면 좋지 않은 음식들이 있다. 채소나 과일을 보통 껍질째 먹는 것이 영양분을 최대한 흡수하는 방법으로 알려져 있지만, 일부 식품의 껍질에는 아스코르비나아제라는 성분이 다량 포함되어 있다. 아스코르비나아제는 비타민 C를 파괴하는 효소로, 우리 몸에 중요한 역할을 하는 아스코르브산(비타민 C)의 생리 효과를 무력화할 수 있다.

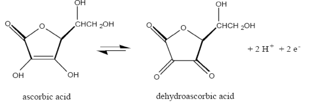
아스코르비나아제는 아스코르브산을 산화시켜 디히드로아스코르브산으로 변화시키는데, 이 물질은 비타민 C의 변형 형태이지만 생리적으로 불안정하고 대량 투여 시 당뇨병을 유발할 수 있다는 연구 결과가 있다. 불안정한 결합 때문에 비타민 C의 효과가 감소되고, 이는 우리 몸의 건강에 부정적인 영향을 미칠 수 있다.
이런 이유로, 아스코르비나아제가 많이 함유된 오이, 당근, 가지, 호박 등을 함께 먹거나 생으로 섭취할 경우 비타민 C의 파괴가 일어날 수 있으니, 가급적이면 함께 섭취하지 않는 것이 좋다. 조리할 때는 껍질을 제거하거나 생으로 먹지 않는 방법이 이상적이다. 만약 꼭 먹어야 한다면, 식초를 약간 첨가하는 것이 도움이 될 수 있다. 식초의 산 성분이 아스코르비나아제의 활성을 억제하기 때문이다.
우리 몸의 경우, 포유류는 체내에서 글루코스로부터 아스코르브산을 합성할 수 있지만, 사람과 원숭이만이 이 과정을 수행하지 못한다. 이로 인해 아스코르브산이 부족할 경우 괴혈병 같은 질병이 발생할 수 있다. 아스코르브산은 산화효소의 작용으로 산화되면 탈수소 아스코르브산으로 전환되며, 이 과정을 통해 신체 내의 산화와 환원을 일정하게 유지하는 중요한 역할을 한다. 또한, 아스코르브산은 타이로신과 페닐알라닌의 화학 작용에도 관여하여, 타이로신에서 생성되는 멜라닌 색소의 발생을 억제해 미백 효과를 줄 수 있다.

디히드로아스코르브산도 비타민C의 일종이지만, 상태가 불안정하며, 대량 투여 시 실험적으로 당뇨병을 야기하기도 하는 물질로 알려져 있다.
불안정한 결합 때문에 비타민C의 생리 효과를 감소시켜서 비타민C의 효과를 무력화시킨다.
이 때문에, 아스코르비나아제가 함유된 오이, 당근, 가지, 호박 등을 함께 먹거나 생으로 먹을 경우 비타민C의 파괴를 일으킬 수 있으니 가급적 같이 먹지 않도록 한다.

주요 음식들
- 오이: 수분이 많고 상큼한 맛을 내는 오이는 아스코르비나아제가 풍부하여, 비타민 C의 흡수를 방해할 수 있다.
- 당근: 당근의 껍질에는 아스코르비나아제가 다량 포함되어 있어, 생으로 섭취할 때 비타민 C 파괴의 위험이 있다.
- 가지: 다양한 요리에 활용되는 가지 역시 아스코르비나아제가 많아, 비타민 C의 효과를 저하시킬 수 있다.
- 호박: 호박의 껍질 또한 아스코르비나아제를 포함하고 있어, 비타민 C의 흡수를 방해할 수 있다.

결론
비타민 C는 우리의 면역 체계와 전반적인 건강에 필수적인 영양소다. 하지만, 아스코르비나아제가 포함된 음식들과의 조합이 이 영양소의 효과를 감소시킬 수 있음을 인지해야 한다. 따라서, 이러한 음식을 섭취할 때는 껍질을 제거하거나 조리 방법에 주의를 기울여 비타민 C의 흡수를 극대화하는 것이 중요하다. 건강한 식습관을 유지하기 위해, 아스코르비나아제가 풍부한 음식들과의 섭취 조합을 신중하게 고려하자.